2025年4月 VCM Updates: Section A
VCM Updates Section A: Voluntary Carbon Creditの市場動向
株式会社sustainacraftのニュースレターです。本記事はVCM Updates(ボランタリーカーボンマーケットのアップデート)のセクションA(市場動向編)です。
«VCM Updatesの構成»
A. Voluntary Carbon Creditの市場動向 ← 本記事の対象
- クレジット発行・償却・投資動向分析
- プロジェクトパイプライン分析
- 詳細解説セクション
B. 海外の主要規制の動向
はじめに
クレジットの発行・償却・投資動向、及び、案件パイプライン動向について
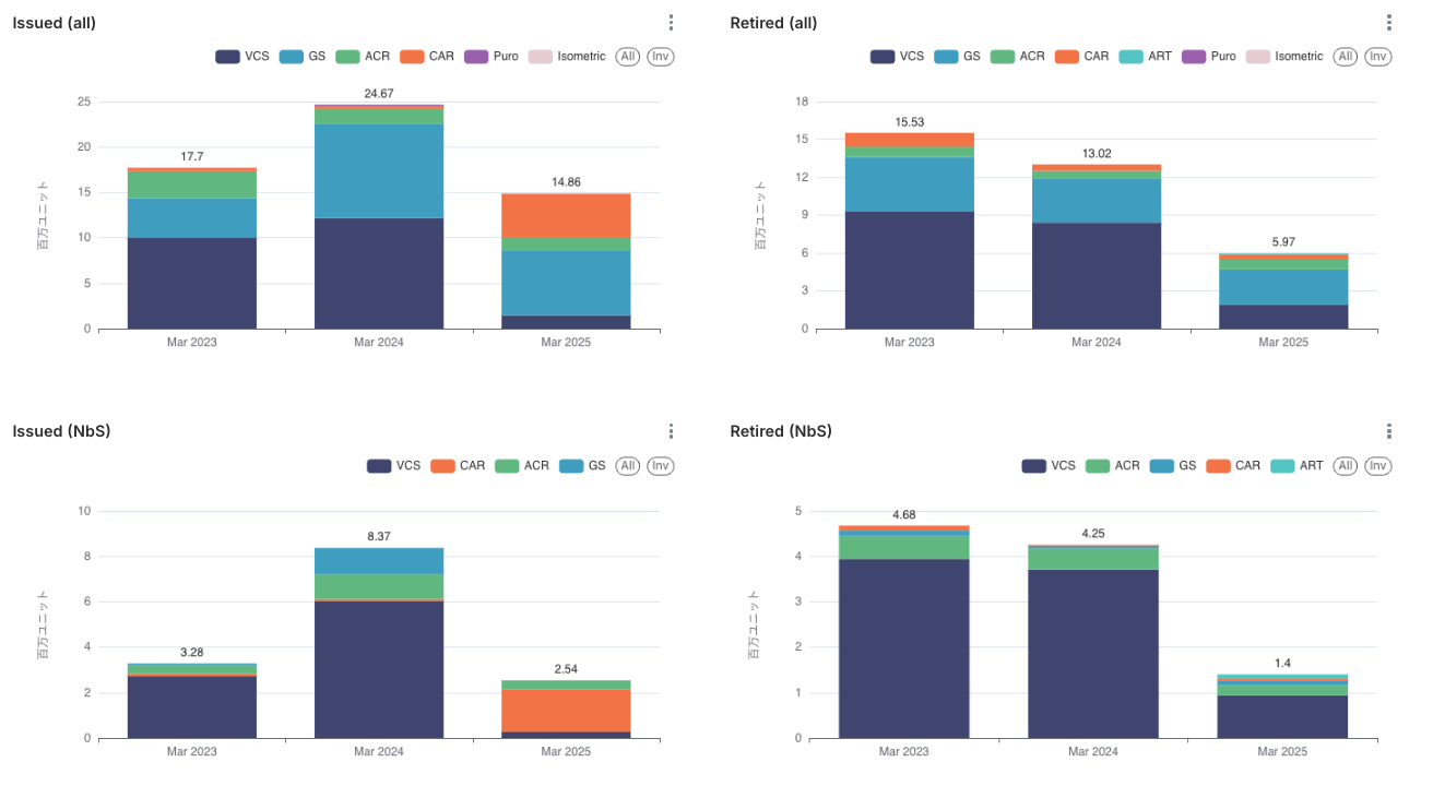
クレジット発行に関し、3月の全体発行量は1,486万ユニット、自然由来の発行量は254万ユニットと、双方ともに前年同月比で減少しました。そんな中でも、3月はCARレジストリによる発行が増えたのが特徴です。
償却に関しては、3月のクレジット償却量は597万ユニットとなり、こちらも前年から減少しました。この償却での主要なレジストリはVCSではなく、GSでした。
これまで、クレジット発行はレジストリの多様化が見られる一方で、償却は既存案件数が多いVCSが大部分を占めるというトレンドが続いていました。しかし今月に限っていえば、クレジット償却におけるVCSの割合が減り、こちらも多様化してきたように見受けられます。今後の償却トレンドも注視していきたいと思います。
投資動向に関し、今月は自然由来および炭素除去(CDR)のプロジェクトへの注目すべき投資を5件を紹介します。うち3件は、Microsoftや商船三井といった企業、またAMC(Advanced Market Commitment)であるFrontierによる投資に関するものです。残る2件は、SLM Partnersや王子ホールディングスによるファンド設立の動きです。
新規の案件パイプラインについては、3月は自然由来のプロジェクトが3件申請されました。これには、先月のニュースレターで紹介したVerraの新しい水田メタン方法論(VM0051)を使ったベトナムでのプロジェクトが含まれます。
A. Voluntary Carbon Creditの市場動向 (Verra)
A-1: クレジット発行・償却・投資動向分析
- 分析対象レジストリー: VCS(Verra)、GS(Gold Standard)、CAR(Climate Action Reserve)、ACR(American Carbon Registry)、Puro (Puro.earth), Isometric
- 対象期間: 2025年3月
- 留意事項: 償却した企業について、レジストリーに対して実名での登録は義務付けらておらず、正確性は保証できない旨ご了承ください。また、レジストリーへの反映には遅れがありますので、今後も本対象期間中について案件の増減やステータス変更の可能性があることにご留意ください。本対象期間の発行・償却実績は以下のとおりです(括弧内は前年同月比)。
- 発行実績: 14.86百万(-40%)、うち自然由来2.54百万(-70%)
- 償却実績: 5.97百万(-54%)、うち自然由来1.4百万(-67%)

<発行された案件リスト>
以下は、本対象期間にクレジットが発行されたプロジェクトの上位10件です。

なお、上記に表示されているクレジットのラベル(CCP、CORSIA、Article 6、Removals)は、すべて各認証機関(レジストリ)から提供された情報に基づいています。したがって、以下にご留意ください。
- 方法論自体がCCP認定(approved)・CORSIA適格(eligible)となっていても、レジストリ側のデータにラベル情報が含まれていない限り、上記の表ではラベル付きのクレジットとしてカウントされません。今回でいえば、例えば、GS TPDDTEC方法論(クックストーブ)はCCP認定、CORSIA適格(条件付き)となっていますが、レジストリからのデータにはラベル情報が含まれていませんでした。
- Article 6ラベルの情報を提供しているのは、VCSおよびGSのレジストリのみです。
<償却された案件リスト>
本対象期間に最も多く償却されたトップ10の自然由来プロジェクトの一覧は以下の通りです。

<償却企業リスト>
対象期間中に自然由来プロジェクトのクレジットを償却した上位10社は以下の通りです。

<自然由来プロジェクトへの投資動向>
- 対象期間: 2025年3月
- 留意事項: 自然再生やREDD+、及び、自然由来系のCDR案件に対する投資を取り上げています。また、「クレジット量」や「投資額」については、今後の想定値である場合があります。3月には、自然由来とCDRのプロジェクトへの重要な投資が3件ありました。

A-2: プロジェクトパイプライン分析
分析対象レジストリー: VCS(Verra)、GS(Gold Standard)
対象期間: 2025年3月
留意事項: レジストリーへの反映には若干タイムラグがあるため、今後本対象期間についても案件の増減やステータス変更の可能性があることにご留意ください。
用語: 年間ERとは、年間の排出削減・吸収量(tCO₂e)のことを指します。このセクションでは、まず新しいパイプラインプロジェクトを紹介し、その後、前回のニュースレターに反映されていなかった先月のパイプラインでの重要な変更点をレビューします。
<今月分パイプライン>
自然由来プロジェクトのパイプラインには、以下の3件のプロジェクトが含まれています。

なお、ベトナムのALMプロジェクト(VCS-5469)は、先月のニュースレターで紹介したVerraの新しい水田メタン方法論(VM0051)を使ったものです。
<前月パイプラインの重要変更点>
先月のニュースレターでは、2月のパイプラインに合計33件のプロジェクトが含まれていました。しかし、その後更新され、現在は合計36件のプロジェクトが含まれています。

A-3: 詳細解説セクション
このセクションでは、前述で紹介した投資案件について、より詳細な解説をしています。<自然由来プロジェクトへの投資動向>
このセクションでは、先月に発表されたCDRと自然由来案件への投資に関する内容について紹介します。
