2025年5月 VCM Updates: Section A
VCM Updates Section A: Voluntary Carbon Creditの市場動向
株式会社sustainacraftのニュースレターです。本記事はVCM Updates(ボランタリーカーボンマーケットのアップデート)のセクションA(市場動向編)です。
«VCM Updatesの構成»
A. Voluntary Carbon Creditの市場動向 ← 本記事の対象
- クレジット発行・償却・投資動向分析
- プロジェクトパイプライン分析
- 詳細解説セクション
B. 海外の主要規制の動向
はじめに
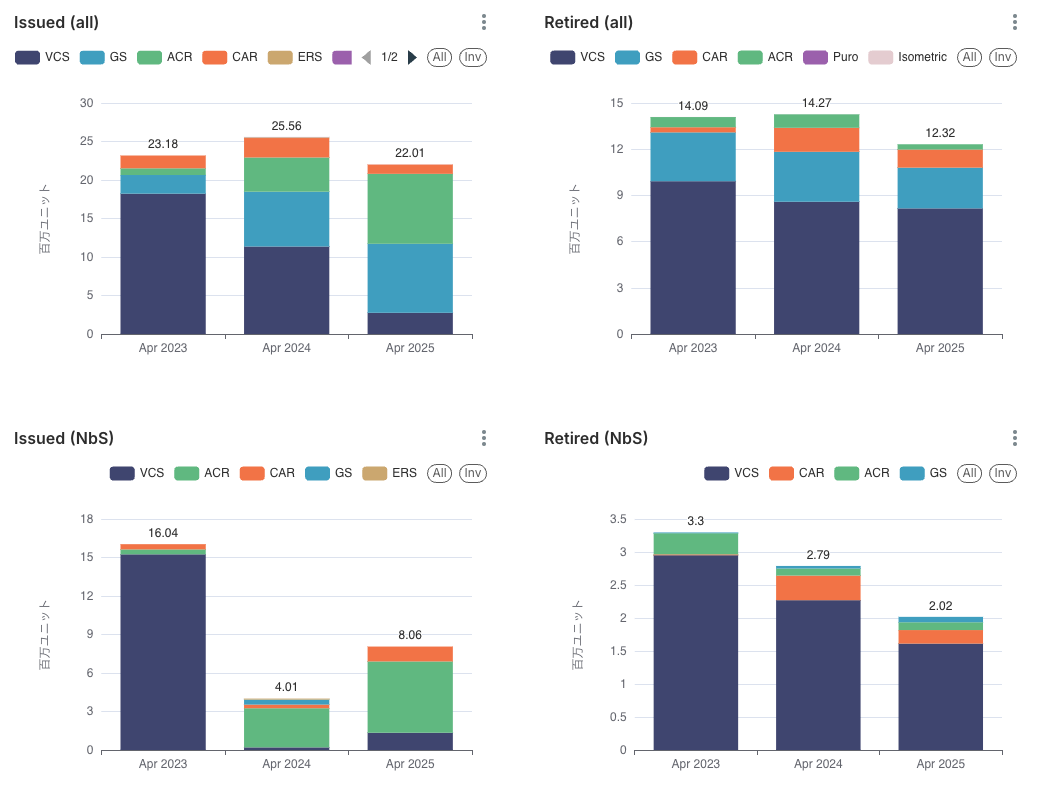
クレジットの発行・償却・投資動向、及び、案件パイプライン動向について
クレジット発行に関し、4月の全体発行量は2,201万ユニット、自然由来の発行量は806万ユニットとなりました。全体では前年同月比でやや減少したものの、自然由来クレジットの発行量は2倍に増加しました。償却に関しては、4月のクレジット償却量は1,232万ユニット、自然由来の償却量は202万ユニットとなり、いずれも前年同月比で減少しました。
投資動向に関し、今月は自然由来および炭素除去(CDR)のプロジェクトへの注目すべき投資を10件紹介します。このうち4件はMicrosoftによるもので、CDRが3件、自然由来が1件、合計で1,000万ユニット以上のCDRクレジットのオフテイク契約が締結されています。また、日本企業による投資として、双日の米国における森林ファンド組成と、商船三井による岩石風化促進(ERW)に関するCDRクレジットのオフテイク契約の動きを紹介します。
CDR業界は、近年大きな注目を集め、急成長してきましたが、CDRへの投資はMicrosoftなどの限られた米国企業によるものがそのほとんどを占めているのが現状です。マーケットの拡大・成長にはより多くのプレーヤーの参加が必要ですが、昨今の政治的・地政学的・経済的不安定性の高まりによって慎重な姿勢が強まっている可能性もあります。一方で、今回紹介する商船三井のような投資事例も出てきており、今後様々なプレーヤーがどのような動きを見せるのか、注視していきたいと思います。
新規の案件パイプラインについては、今月号から、プロジェクトタイプとして自然由来に加えてCDRも、レジストリとしてPuroおよびIsometricもカバーします。4月は20件の自然由来案件、2件のCDR案件の登録がありました。
A. Voluntary Carbon Creditの市場動向
A-1: クレジット発行・償却・投資動向分析
- 対象レジストリー: VCS(Verra)、GS(Gold Standard)、CAR(Climate Action Reserve)、ACR(American Carbon Registry)、ART-TREES、Puro (Puro.earth), Isometric
- 対象期間: 2025年4月
- 留意事項: 償却した企業について、レジストリーに対して実名での登録は義務付けらておらず、正確性は保証できない旨ご了承ください。また、レジストリーへの反映には遅れがありますので、今後も本対象期間中について案件の増減やステータス変更の可能性があることにご留意ください。本対象期間の発行・償却実績は以下のとおりです(括弧内は前年同月比)。
- 発行実績: 22.01百万(-14%)、うち自然由来8.06百万(+101%)
- 償却実績: 12.32百万(-14%)、うち自然由来2.02百万(-28%)

<発行された案件リスト>
以下は、本対象期間にクレジットが発行されたプロジェクトの上位10件です。

なお、上記に表示されているクレジットのラベル(CORSIA、CCP、Article 6、Removals)は、すべて各認証機関(レジストリ)から提供された情報に基づいています。したがって、以下にご留意ください。
- 方法論自体がCORSIA適格(eligible)・CCP認定(approved)であっても、レジストリ側のデータにラベル情報が含まれていない限り、上記の表ではラベル付きのクレジットとしてカウントされません。
- Article 6ラベルの情報を提供しているのは、VCSおよびGSのレジストリのみです。
<償却された案件リスト>
本対象期間に最も多く償却されたトップ10の自然由来プロジェクトの一覧は以下の通りです。

<償却企業リスト>
対象期間中に自然由来プロジェクトのクレジットを償却した上位10社は以下の通りです。最も多くのカーボンクレジットを償却した企業はNetflixであり、その数量はおよそ45万トン分でした。

<自然由来とCDRプロジェクトへの投資動向>
- 対象案件: 自然由来及びCDRに対する投資を取り上げています。
- 対象期間: 2025年4月
- 留意事項: 「クレジット量(Credits)」や「投資額(Group investment)」については、発表された数字のみを記録しているため、空欄がある場合があります。また、この表でのBeneficiaryとは、投資をした企業やクレジットを購入する側の企業を指し、Investment intoとは、投資対象がプロジェクトなのかファンドなのかを示しています。4月には、自然由来とCDRのプロジェクトへの重要な投資が10件ありました。

以下のA-3: 詳細解説セクションでは、それぞれの投資の概要を解説します。
A-2: プロジェクトパイプライン分析
- 対象レジストリー: VCS(Verra)、GS(Gold Standard)、CAR(Climate Action Reserve)、ACR(American Carbon Registry)、ART-TREES、Puro (Puro.earth), Isometric
- 対象案件: 自然由来及びCDRに関するパイプライン
- 対象期間: 2025年4月
- 留意事項: レジストリーへの反映には若干タイムラグがあるため、今後本対象期間についても案件の増減やステータス変更の可能性があることにご留意ください。
- 用語: 年間ERとは、年間の排出削減・吸収量(tCO₂e)のことを指します。このセクションでは、新しいパイプラインプロジェクトを紹介した後、前回のニュースレターに反映されていなかった先月のパイプラインでの変更点をレビューします。
今月のニュースレターから、対象レジストリーとしてPuroおよびIsometricも含む7つのレジストリーを、対象案件として自然由来及びCDR案件をカバーします。なお、当データベースにおける申請日(Listing Date)は、レジストリから直接取得したもの、または推定によるものです。そのため、データの網羅性・正確性は保証するものではありませんのでご留意ください。
<2025年4月パイプライン>
自然由来案件のパイプラインには20件のプロジェクトが、CDR案件のパイプラインには2件のプロジェクトが含まれています。


<2025年3月パイプラインの重要変更点>
先月のニュースレターで紹介した3月のパイプラインはその後更新され、以下の通り現在は自然由来案件のパイプラインには23件のプロジェクトが、CDR案件のパイプラインには3件のプロジェクトが含まれています。


A-3: 詳細解説セクション
このセクションでは、前述で紹介した投資案件について、より詳細な解説をしています。<自然由来プロジェクトへの投資動向>
このセクションでは、先月に発表されたCDRと自然由来案件への投資に関する内容について紹介します。
